Capacité de stockage / Densité d’énergie
La masse du système de stockage d’énergie (la structure, les masse supplémentaires,…) ainsi que le volume de son réservoir déterminent la capacité énergétique disponible. Afin d’évaluer la capacité de stockage d’une telle structure, on considère un système de stockage parfait (sans pertes énergétiques) dont la totalité de la masse est concentrée dans les masses supplémentaires. Le réservoir est un cylindre de hauteur h. Le maximum d’énergie est stocké lorsque la totalité du cylindre est immergée et que le réservoir est à moitié rempli (cf schéma).

Schéma pour le calcul de la capacité de stockage
La capacité de stockage E d’un système parfait de stockage d’énergie se calcule comme suit:


avec m la masse du système de stockage d’énergie, g l’accélération de pesanteur, ? Fluid la masse volumique de l’eau, h la profondeur maximale d’immersion, A l’aire de la section du cylindre.
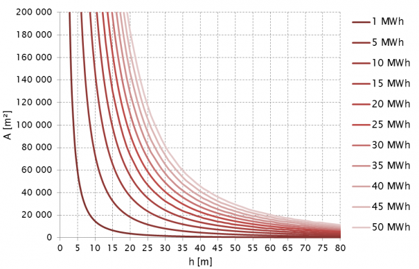
La masse est proportionnelle à l’énergie E pour un système sans perte énergétique avec une profondeur maximale de plongée constante. Le diagramme suivant représente la variation de l’aire de la section du cylindre en fonction de la profondeur pour différentes énergies E données.

Capacité de stockage comme fonction de la profondeur maximale d’immersion et de l’air de la section du cylindre
La densité d’énergie est relativement faible. Mais en raison de l’utilisation “illimitée”, de la rapidité de réponse et du rendement constant du système, cette méthode de stockage présente de nombreux avantages par rapport aux systèmes déjà existants. La densité massique d’énergie d’un système sans pertes énergétiques est donnée par:

La densité volumique d’énergie est la suivante:
