Storage Capacity / Energy Density
The useable energy content of floating hydraulic energy storage is dependent upon its mass (structure, technical equipment, additional loads) and the size of its cavity (water reservoir). To estimate the energy stored one must consider an idealized system, wherein the total mass is concentrated in additional loads and the cavity has a cylindrical shape. In this case, the storable energy content reaches its maximum, if at maximum immersion depth h, the cavity is half full with water (see diagram).

Schematic diagram of an ideal system
The energy content or storage capacity E of an idealized hydraulic energy storage is calculated using the following formula:


in which m is the mass of the hydraulic energy storage, including all additional loads, g is the gravitational acceleration, ? Fluid is the density of water, h is the maximum immersion depth and A is the base area.
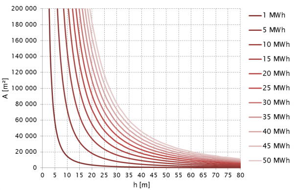
In such an idealized system the mass m of the hydraulic energy storage is proportional to its energy content E. The following diagram illustrates the relationship between the base area A and the immersion depth h for various energy contents E.

Energy storage capacity as a function of maximum immersion depth h and the base area A
The energy density is comparatively low. However, due to the “unlimited” number of load cycles, the short response time and the high operation efficiency, significant advantages are expected when compared to other energy storage concepts. The gravimetric energy density of an idealized hydraulic energy storage system is

The volumetric energy density of an idealized hydraulic energy storage system is
