Speicherkapazität / Energiedichte
Der nutzbare Energieinhalt eines schwimmenden hydraulischen Energiespeichers wird durch seine Masse (Baukörper, Anlagenteile, Zusatzlasten) und der Größe des Hohlraums (Fluidreservoir) bestimmt. Für eine Abschätzung der speicherbaren Energie wird ein idealisiertes System betrachtet, bei dem die gesamte Masse in den Zusatzlasten konzentriert und der Hohlraum zylindrisch ausgestaltet ist. In diesem Fall erreicht der nutzbare Energieinhalt sein Maximum, wenn bei maximaler Eintauchtiefe h der Hohlraum zur Hälfte mit Wasser gefüllt ist (siehe Schema).

Schema zur Berechnung der Speicherkapazität eines idealisierten Systems
Der Energieinhalt bzw. die Speicherkapazität E eines idealisierten hydraulischen Energiespeichers berechnet sich gemäß folgender Formel zu


mit der Masse m des hydraulischen Energiespeichers inklusive aller Zusatzlasten, der Gravitationsbeschleunigung g, der Dichte des Wassers ? Fluid , der maximalen Eintauchtiefe h und der Grundfläche A.
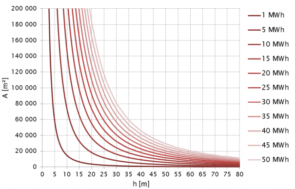
In einem idealisierten System mit konstanter maximaler Eintauchtiefe h verhält sich die Masse m proportional zum Energieinhalt E. Das folgende Diagramm veranschaulicht den Zusammenhang zwischen der Grundfläche A und der Eintauchtiefe h für verschiedene Energieinhalte E.

Energiekapazität als Funktion der max. Eintauchtiefe h und der Grundfläche A
Die Energiedichte ist vergleichsweise gering. Aufgrund der „unbegrenzten“ Anzahl von Lade-/Entlade-Zyklen, der schnellen Zugriffszeit (im Sekundenbereich) und dem gleich-bleibend hohen Wirkungsgrad werden im Betrieb jedoch erhebliche Vorteile gegenüber vergleichbaren Energiespeichersystemen erwartet. Die gravimetrische Energiedichte eines idealisierten hydraulischen Energiespeichers beträgt

Die volumetrische Energiedichte eines idealisierten hydraulischen Energiespeichers beträgt
